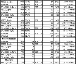
Conclusion.
Le Nighthawk X8 AC5300 est un appareil imposant et lourd mais musclé avec son processeur double cœur. Il faut lui trouver sa place, d’autant que ce n’est pas un modèle d’esthétique. Mais l’essentiel est bien dans ses performances que j’ai trouvé impressionnantes et de toutes les fonctionnalités: paramétrage du Wi-Fi, gestion d’un réseau invité, gestion des IP, routes, redirections, priorité des flux, contrôle parental, VLAN, etc… tout y est ! le Wifi nouvelle génération ! Plus que complet et convenant aux utilisateurs les plus exigeants pour la maison ou pour une petite entreprise.
Si vous êtes déçu par la qualité de votre box fournie/louée par votre fournisseur d’accès et que vous voulez vous de la performance, si vous êtes prêt à débourser environ 500 Euros, cet investissement vous ravira. Sans aucun doute l’un des tout meilleur routeur. Il devrait vous servir de nombreuses années tant sa technique est poussée, dommage que l’impasse (maj possible ?) soit faite pour les possesseur de MAC. Pour ma part je l’adopte !
| 
 | 
 | 
Galerie Photo :
Photos du produit :
Photos de configuration :
|  |  |  | 
|  |  | |
|  |  |  | 
|  |  |  | 
 































































Laisser un commentaire
Vous devez vous connecter pour publier un commentaire.